Gautham Manoharan
Menu
Menu
Home
Work Experience
Education
Projects
Close
Multi-Robot Object Transport Using Potential Field and Symmetric Formation Control
Multi-Robot grasping and transportation strategy in MATLAB
Work
Managed team to produce a multi-robot grasping and transportation strategy in MATLAB.
Implemented potential field-based obstacle avoidance and navigation for six differential drive robots.
Additionally, designed graph-based formation control in the Robotarium Simulator.
Videos and Images
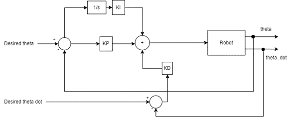
Differential Drive Robot and PID Controller:
Robot navigation in the obstacle field:
Formation Control in the Robotarium Simulator: